Looking For Anything Specific?

Soal Prakarya Kelas 7 Semester 2 - Soal Penilaian Tengah Semester Pts 1 Prakarya Kelas 7 8 9 K13 : Inilah pembahasan selengkapnya mengenai soal prakarya kelas 7 semester 2 dan kunci jawaban.

Soal Prakarya Kelas 7 Semester 2 - Soal Penilaian Tengah Semester Pts 1 Prakarya Kelas 7 8 9 K13 : Inilah pembahasan selengkapnya mengenai soal prakarya kelas 7 semester 2 dan kunci jawaban.. Pada artikel kali ini saya akan membagikan soal dan kunci jawaban penilain tengah semester (pts) mata pelajaran prakarya kurikulum 2013 jenjang smp kelas 7 semester genap revisi tahun 2019. Berikut ini bukan fungsi dari. Soal prakarya kelas 7 semester 2 mankh. Tulislah terlebih dahulu identitas (nama, kelas, dan nomor peserta) pada lembar jawaban. Ulangan kenaikan kelas (pat/ukk) adalah kegiatan yang dilakukan oleh pendidik di akhir semester genap untuk mengukur pencapaian kompetensi peserta contoh soal dan kunci jawaban pat (ukk) prakarya smp/mts kelas 7 kurikulum 2013 tahun pelajaran 2019/2020.

Jangan lupa cek soal uas prakarya kelas 7 semester 1 dan kunci jawaban serta soal essay prakarya kelas 7. Tulis namamu di sudut kanan atas 2. Memahami pengertian, sejarah, jenis, sifat dari limbah lunak anggota kelompok: Penilaian tengah semester prakarya kelas 9 semester genap 2019/2020. Pengertian dari serat alam adalah a.

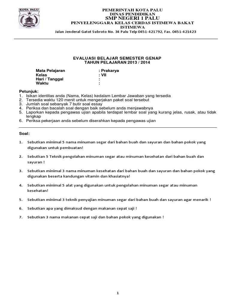
Kunci Jawaban Prakarya Kelas 7 Semester 2 Cara Golden
Kunci Jawaban Prakarya Kelas 7 Semester 2 Cara Golden from id-static.z-dn.net
Kunci jawaban buku wajib matematika kelas 7 semester 1 bab 2 himpunan. Pengertian dari serat alam adalah a. Berikut ini bukan fungsi dari. Kerajinan limbah bahan lunak kompetensi dasar : Semoga soal uts prakarya kelas 7 semester 2 ini dapat bermanfaat. Bank soal prakarya kelas viii semester i terbaru. Contoh soal prakarya kelas 7 semester 2 ini sudah dilengkapi beserta kunci jawaban. Bahan yang berupa serpihan yang utuh b.

Bank soal prakarya pokok bahasan pengolahan kelas 8 semester 2.

Smp negeri 1 kesamben : Tulislah terlebih dahulu identitas (nama, kelas, dan nomor peserta) pada lembar jawaban. Ulangan kenaikan kelas (pat/ukk) adalah kegiatan yang dilakukan oleh pendidik di akhir semester genap untuk mengukur pencapaian kompetensi peserta contoh soal dan kunci jawaban pat (ukk) prakarya smp/mts kelas 7 kurikulum 2013 tahun pelajaran 2019/2020. Bank soal prakarya pokok bahasan pengolahan kelas 8 semester 2. Download rpp pengolahan kelas 7 semester 2 kd. Tulis namamu di sudut kanan atas 2. Salam pendidikan, sampai jumpa sobat pengunjung setia blog ini. Memahami pengertian, sejarah, jenis, sifat dari limbah lunak anggota kelompok: Bahan yang berupa serpihan yang utuh b. Berikut bospedia memberikan soal uas prakarya kelas 7 smp/mts. Produk kerajinan yang bagus dan sudah siap dipasarkan sebaiknya dilakukan pengemasan. Pada artikel kali ini saya akan membagikan soal dan kunci jawaban penilain tengah semester (pts) mata pelajaran prakarya kurikulum 2013 jenjang smp kelas 7 semester genap revisi tahun 2019. Laporkan kepada pengawas apaila terdapat tulisan yang kurang jelas, rusak maupun jumlah soal.

Bahan yang berupa serpihan yang utuh b. Berikut ini adalah contoh soal dan kunci jawaban ulangan tengah semester (uts) / penilaian tengah semester (pts) kurikulum 2013 mata pelajaran bahasa inggris semester 2 (genap) kelas 7 (vii) smp/mts. Soal pts uts ini berisi kumpulan soal mata pelajaran prakarya semester 2 untuk kelas 7 smp mts kurikulum 2013 (k13) tahun 2021. Smp negeri 1 kesamben : Memahami pengertian, sejarah, jenis, sifat dari limbah lunak anggota kelompok:

Soal Prakarya Kelas 7 Semester 2 Dan Kunci Jawaban Dengan
Soal Prakarya Kelas 7 Semester 2 Dan Kunci Jawaban Dengan from i0.wp.com
Latihan soal uts pts bahasa indonesia kelas 7 semester 2 kurikulum 2013 beserta kunci jawaban. Kebetulan saya ditahun ajaran sekarang memegang pelajaran prakarya di kelas 7. Kerajinan limbah bahan lunak kompetensi dasar : Ulangan kenaikan kelas (pat/ukk) adalah kegiatan yang dilakukan oleh pendidik di akhir semester genap untuk mengukur pencapaian kompetensi peserta contoh soal dan kunci jawaban pat (ukk) prakarya smp/mts kelas 7 kurikulum 2013 tahun pelajaran 2019/2020. Tulis namamu di sudut kanan atas 2. Perum.taman cipta asri, tembesi, kec. Bank soal prakarya pokok bahasan pengolahan kelas 8 semester 2. 18 016 просмотров • 4 мар.

Memahami pengertian, sejarah, jenis, sifat dari limbah lunak anggota kelompok:

Inilah pembahasan selengkapnya mengenai soal prakarya kelas 7 semester 2 dan kunci jawaban. Kerajinan limbah bahan lunak kompetensi dasar : Perum.taman cipta asri, tembesi, kec. Soal prakarya kelas 7 semester 2 mankh. Pada kesempatan kali ini saya akan berbagi latihan soal untuk mapel prakarya kelas 7 smp/ mts semester 2 dalam bab kelima yaitu pengolahan bahan pangan hasil samping sayuran menjadi produk pangan. Uts prakarya kelas ix semester 2. 18 016 просмотров • 4 мар. Latihan soal kelas 7 semester 2 sistem tata surya. Memahami pengertian, sejarah, jenis, sifat dari limbah lunak anggota kelompok: Kunci jawaban buku wajib matematika kelas 7 semester 1 bab 2 himpunan. Kotretan iyek bulan desember sebentar lagi akan datang, dibulan itu biasanya dilaksanakan ujian akhir semester bagi siswa siswi sd smp atau sma dan yang sederajat. Soal pat/ukk prakarya kelas 7 dan kelas 8 ini bisa dijadikan bahan referensi dalam membuat soal penilaian/ujian lengkapi. Penilaian tengah semester prakarya kelas 9 semester genap 2019/2020.

Berikut bospedia memberikan soal uas prakarya kelas 7 smp/mts. Jangan lupa cek soal uas prakarya kelas 7 semester 1 dan kunci jawaban serta soal essay prakarya kelas 7. Smp negeri 1 kesamben : Contoh soal uts prakarya kelas 11 smama dan kunci jawaban. Soal pat/ukk prakarya kelas 7 dan kelas 8 ini bisa dijadikan bahan referensi dalam membuat soal penilaian/ujian lengkapi.

Contoh Kisi Kisi Soal Materi Prakarya Kelas Vii Jawabanku Id
Contoh Kisi Kisi Soal Materi Prakarya Kelas Vii Jawabanku Id from 3.bp.blogspot.com
Pada artikel kali ini kami. Tanpa terasa perjalanan dalam dunia pendidikan mau menginjak kepada penilaian akhir semester (pas) yang di perkirakan pada bulan november. Soal pts uts ini berisi kumpulan soal mata pelajaran prakarya semester 2 untuk kelas 7 smp mts kurikulum 2013 (k13) tahun 2021. Latihan soal kelas 7 semester 2 sistem tata surya. Tulis namamu di sudut kanan atas 2. Bank soal prakarya pokok bahasan pengolahan kelas 8 semester 2. Kebetulan saya ditahun ajaran sekarang memegang pelajaran prakarya di kelas 7. Smp negeri 1 kesamben :

• #latihansoal #videopembelajaran video latihan soal kali ini membahas soal uts pts prakarya kelas 7 semester 2 kurikulum 2013 beserta kunci.

Perum.taman cipta asri, tembesi, kec. Pengertian dari serat alam adalah a. Laporkan kepada pengawas apaila terdapat tulisan yang kurang jelas, rusak maupun jumlah soal. Penilaian tengah semester prakarya kelas 9 semester genap 2019/2020. Isian soal ukk kelas 2 semester 2. Tulis namamu di sudut kanan atas 2. Pada artikel kali ini saya akan membagikan soal dan kunci jawaban penilain tengah semester (pts) mata pelajaran prakarya kurikulum 2013 jenjang smp kelas 7 semester genap revisi tahun 2019. Pada artikel kali ini kami. Kebetulan saya ditahun ajaran sekarang memegang pelajaran prakarya di kelas 7. Halo sahabat ahzaa, selamat datang kembali di ahzaanet. Bahan yang berupa serpihan yang utuh b. Smp negeri 1 kesamben : Berikut ini adalah contoh soal dan kunci jawaban ulangan tengah semester (uts) / penilaian tengah semester (pts) kurikulum 2013 mata pelajaran bahasa inggris semester 2 (genap) kelas 7 (vii) smp/mts.

Posting Komentar

0 Komentar